Dal blog https://reccom.org
By
retemedia – 28 Marzo 2023
Il Big Bang è spesso definito come l’inizio dell’Universo. Ma c’è una prova che non possiamo ignorare che dimostra il contrario
La nozione del Big Bang risale a quasi 100 anni fa, quando apparvero le prime prove dell’espansione dell’Universo. Se oggi l’Universo si sta espandendo e raffreddando, l’implicazione è che in passato era più piccolo, più denso e più caldo.
Nella nostra immaginazione, andando indietro nel tempo possiamo estrapolare dimensioni arbitrariamente piccole, densità più elevata e temperatura più calda fino ad arrivare ad una singolarità, dove tutta la materia e l’energia dell’Universo erano condensate in un unico punto. Per molti decenni, queste due nozioni del Big Bang – dello stato caldo e denso che descrive l’Universo primordiale e la singolarità iniziale – sono state inseparabili.
Ma a partire dagli anni ’70, gli scienziati hanno iniziato a identificare alcuni enigmi che circondano il Big Bang, notando diverse proprietà dell’Universo che non erano spiegabili simultaneamente nel contesto di queste due nozioni.
Quando l’inflazione cosmica fu presentata e sviluppata, nei primi anni ’80, separò le due definizioni del Big Bang, proponendo che il primo stato caldo e denso non avesse mai raggiunto queste condizioni singolari, ma piuttosto che un nuovo stato inflazionistico lo avesse preceduto. C’era davvero un Universo prima del caldo Big Bang, e alcune prove molto forti del 21° secolo dimostrano che è così.

Sebbene siamo certi di poter descrivere l’Universo primordiale come caldo, denso, in rapida espansione e pieno di materia e radiazioni – cioè, dal caldo Big Bang – alla questione se quello sia stato veramente l’inizio del Universo o no si può rispondere con prove. Le differenze tra un Universo che ha avuto inizio con un caldo Big Bang e un Universo che ha avuto una fase inflazionistica che ha preceduto e avviato il caldo Big Bang sono sottili, ma tremendamente importanti. Dopotutto, se vogliamo sapere qual è stato l’inizio dell’Universo, dobbiamo cercare prove nell’Universo stesso.
In un caldo Big Bang che estrapoliamo fino a una singolarità, l’Universo raggiunge temperature arbitrariamente calde ed energie elevate. Anche se l’Universo avrà una densità e una temperatura “medie”, ci saranno imperfezioni ovunque: sia regioni sovradense che regioni sottodense. Man mano che l’Universo si espande e si raffredda, gravita anche, il che significa che le regioni sovradense attireranno più materia ed energia al loro interno, crescendo nel tempo, mentre le regioni sottodense perderanno materia ed energia attratte nelle regioni circostanti più dense, creando i semi per un’eventuale rete cosmica di struttura.

Ma i dettagli che emergeranno nella rete cosmica sono determinati molto prima, poiché i “semi” della struttura su larga scala sono stati impressi nell’Universo primordiale. Le stelle, le galassie, gli ammassi di galassie e la struttura filamentosa di oggi sulle scale più grandi possono essere ricondotte a imperfezioni di densità da quando gli atomi neutri si formarono per la prima volta nell’Universo, mentre quei “semi” crescevano, per centinaia di milioni e persino miliardi di anni, nella ricca struttura cosmica che vediamo oggi. Quei semi esistono in tutto l’Universo e rimangono, anche oggi, come imperfezioni di temperatura nel bagliore residuo del Big Bang: lo sfondo cosmico a microonde.
Come misurato dal satellite WMAP negli anni 2000 e dal suo successore, il satellite Planck, negli anni 2010, si osserva che queste fluttuazioni di temperatura appaiono su tutte le scale e corrispondono alle fluttuazioni di densità nell’Universo primordiale. Il legame è dovuto alla gravitazione e al fatto che all’interno della Relatività Generale, la presenza e la concentrazione di materia ed energia determina la curvatura dello spazio. La luce deve viaggiare dalla regione dello spazio in cui ha origine agli “occhi” dell’osservatore, e questo significa:
- le regioni sovradense, con più materia ed energia della media, appariranno più fredde della media, poiché la luce deve “uscire” da un pozzo gravitazionale più grande,
- le regioni sottodense, con meno materia ed energia della media, appariranno più calde della media, poiché la luce ha un potenziale gravitazionale inferiore alla media da cui uscire,
- e che le regioni di densità media appariranno come una temperatura media: la temperatura media del fondo cosmico a microonde.

Ma a cosa sono dovute queste imperfezioni? Queste imperfezioni di temperatura che osserviamo nel bagliore residuo del Big Bang ci provengono da 380.000 anni dopo l’inizio del caldo Big Bang, il che significa che hanno già sperimentato 380.000 anni di evoluzione cosmica. E qui, la storia è molto diversa, a seconda della spiegazione che scegli.
Secondo la “singolare” spiegazione del Big Bang, l’Universo è semplicemente “nato” con un insieme originale di imperfezioni, e che queste imperfezioni sono cresciute e si sono evolute secondo le regole del collasso gravitazionale, delle interazioni tra particelle e della radiazione che interagisce con la materia, comprese le differenze tra materia normale e materia oscura.
Secondo la teoria dell’origine inflazionistica, tuttavia, dove il caldo Big Bang sorge solo all’indomani di un periodo di inflazione cosmica, queste imperfezioni sono seminate da fluttuazioni quantistiche, cioè fluttuazioni che sorgono a causa della relazione intrinseca di incertezza energia-tempo in fisica quantistica – che si verificano durante il periodo inflazionistico: quando l’Universo si sta espandendo in modo esponenziale. Queste fluttuazioni quantistiche, generate sulle scale più piccole, vengono estese a scale più grandi dall’inflazione, mentre le fluttuazioni più recenti e successive vengono estese su di esse, creando una sovrapposizione di queste fluttuazioni su tutte le scale di distanza.

Queste due immagini sono concettualmente diverse, ma il motivo per cui sono interessanti per gli astrofisici è che ciascuna immagine porta a differenze potenzialmente osservabili nei tipi di firme che osserveremmo. Nella “singolare” immagine del Big Bang, i tipi di fluttuazioni che ci aspetteremmo di vedere sarebbero limitati dalla velocità della luce: la distanza alla quale un segnale, gravitazionale o di altro tipo, avrebbe potuto propagarsi se si fosse mosso alla velocità della luce attraverso l’Universo in espansione che iniziò con l’evento noto come Big Bang.
Ma in un Universo che ha subito un periodo di inflazione prima dell’inizio del caldo Big Bang, ci aspetteremmo l’esistenza di fluttuazioni di densità su tutte le scale, anche su scale più grandi della velocità della luce che avrebbe permesso a un segnale di viaggiare da allora l’inizio del caldo Big Bang. Poiché l’inflazione essenzialmente “raddoppia” le dimensioni dell’Universo in tutte e tre le dimensioni ogni minuscola frazione di secondo che passa, le fluttuazioni che si sono verificate poche centinaia di frazioni di secondo fa sono già estese a una scala più grande rispetto all’Universo attualmente osservabile.
Sebbene le fluttuazioni successive si sovrappongano alle fluttuazioni più antiche, precedenti e su larga scala, l’inflazione ci consente di far partire l’Universo con fluttuazioni su larga scala che non dovrebbero esistere nell’Universo se iniziasse con il Big Bang di una singolarità senza inflazione.

In altre parole, il grande test che si può eseguire è esaminare l’Universo, in tutti i suoi dettagli cruenti, e cercare la presenza o l’assenza di questa caratteristica chiave: ciò che i cosmologi chiamano fluttuazioni del super-orizzonte. In qualsiasi momento nella storia dell’Universo, c’è un limite alla distanza che un segnale che ha viaggiato alla velocità della luce dall’inizio del caldo Big Bang avrebbe potuto percorrere e questa scala imposta quello che è noto come l’orizzonte cosmico.
- Le scale più piccole dell’orizzonte, note come scale sub-orizzonte, possono essere influenzate dalla fisica che si è verificata dall’inizio del caldo Big Bang.
- Le scale uguali all’orizzonte, note come scale dell’orizzonte, sono il limite superiore di ciò che potrebbe essere stato influenzato dai segnali fisici dall’inizio del caldo Big Bang.
- E le scale che sono più grandi dell’orizzonte, note come scale super-orizzonte, sono oltre il limite di ciò che potrebbe essere stato causato da segnali fisici generati all’inizio del caldo Big Bang.
In altre parole, se possiamo cercare nell’Universo segnali che appaiono su scale di super-orizzonte, questo è un ottimo modo per discriminare tra un Universo non inflazionistico che è iniziato con un singolo Big Bang caldo (che non dovrebbe averli affatto) e un universo che ha avuto un periodo inflazionistico prima dell’inizio del caldo Big Bang (che dovrebbe possedere queste fluttuazioni del super-orizzonte).

Sfortunatamente, il semplice guardare una mappa delle fluttuazioni di temperatura nel fondo cosmico a microonde non è sufficiente, da solo, per distinguere questi due scenari. La mappa della temperatura del fondo cosmico a microonde può essere suddivisa in diverse componenti, alcune delle quali occupano grandi scale angolari nel cielo, altre occupano piccole scale angolari, così come tutto ciò che sta nel mezzo.
Il problema è che le fluttuazioni sulle scale più grandi hanno due possibili cause. Potrebbero essere state create dalle fluttuazioni sorte durante un periodo inflazionistico, certo. Ma potrebbero anche essere state create semplicemente dalla crescita gravitazionale della struttura nell’Universo del tardo tempo, che ha un orizzonte cosmico molto più ampio dell’Universo del primo tempo.
Ad esempio, se tutto ciò che hai è un pozzo potenziale gravitazionale da cui un fotone può uscire, uscire da quel pozzo costa l’energia del fotone; questo è noto come effetto Sachs-Wolfe in fisica e si verifica per il fondo cosmico a microonde nel punto in cui i fotoni sono stati emessi per la prima volta.
Tuttavia, se il tuo fotone cade in un potenziale gravitazionale lungo il percorso, guadagna energia, e poi quando risale di nuovo verso di te, perde energia. Se l’imperfezione gravitazionale cresce o si riduce nel tempo, cosa che avviene in molti modi in un Universo gravitante pieno di energia oscura, allora varie regioni dello spazio possono apparire più calde o più fredde della media in base alla crescita (o al restringimento) delle imperfezioni di densità al suo interno. Questo è noto come effetto Sachs-Wolfe integrato.
Quindi, quando osserviamo le imperfezioni di temperatura nel fondo cosmico a microonde e le vediamo su queste grandi scale cosmiche, non hanno abbastanza informazioni da sole, per sapere se:
- sono stati generate dall’effetto Sachs-Wolfe, e sono dovute all’inflazione,
- sono state generati dall’effetto Sachs-Wolfe integrato e sono dovute alla crescita/restringimento delle strutture in primo piano,
- o sono dovute a una combinazione dei due.
Fortunatamente, però, osservare la temperatura del fondo cosmico a microonde non è l’unico modo per ottenere informazioni sull’Universo; possiamo anche guardare i dati di polarizzazione della luce da quello sfondo.
Quando la luce viaggia attraverso l’Universo, interagisce con la materia al suo interno, e con gli elettroni in particolare (ricorda, la luce è un’onda elettromagnetica!). Se la luce è polarizzata in modo radialmente simmetrico, questo è un esempio di polarizzazione E-mode (elettrica); se la luce è polarizzata in senso orario o antiorario, questo è un esempio di polarizzazione B-mode (magnetica). Tuttavia, rilevare la polarizzazione, da solo, non è sufficiente per mostrare l’esistenza di fluttuazioni del super-orizzonte.

Quello che devi fare è eseguire un’analisi di correlazione: tra la luce polarizzata e le fluttuazioni di temperatura nel fondo cosmico a microonde, e correlarle sulle stesse scale angolari l’una dell’altra. È qui che le cose si fanno davvero interessanti, perché è qui che osservare l’Universo che abbiamo ci permette di distinguere gli scenari del “Big Bang senza inflazione” e dello “stato inflazionistico che dà origine al caldo Big Bang“!
- In entrambi i casi, ci aspettiamo di vedere correlazioni sub-orizzonte, sia positive che negative, tra la polarizzazione in modalità E nel fondo cosmico a microonde e le fluttuazioni di temperatura all’interno del fondo cosmico a microonde.
- In entrambi i casi, ci aspettiamo che sulla scala dell’orizzonte cosmico, corrispondente a scale angolari di circa 1 grado, queste correlazioni siano nulle.
- Tuttavia, su scale di superorizzonte, lo scenario del “singolare Big Bang” possiederà solo un grande “bip” positivo di correlazione tra la polarizzazione in modalità E e le fluttuazioni di temperatura nel fondo cosmico a microonde, corrispondente a quando le stelle si formano in grandi numeri e reionizzare il mezzo intergalattico. Lo scenario del “Big Bang inflazionistico”, invece, include questo, ma include anche una serie di correlazioni negative tra la polarizzazione E-mode e le fluttuazioni di temperatura su scale super-orizzonte, ovvero scale comprese tra circa 1 e 5 gradi (o momenti multipolari da l = 30 a l = 200).

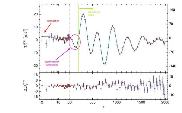
Quello che vedete sopra è il primissimo grafico, pubblicato dal team WMAP nel 2003, ben 20 anni fa, che mostra quello che i cosmologi chiamano spettro di correlazione incrociata TE: le correlazioni, su tutte le scale angolari, che vediamo tra il Polarizzazione E-mode e fluttuazioni di temperatura nel fondo cosmico a microonde. In verde, la scala dell’orizzonte cosmico, insieme alle frecce che indicano sia la scala sub-orizzonte che quella super-orizzonte. Come puoi vedere, su scale sub-orizzonte, le correlazioni positive e negative sono entrambe presenti, ma su scale super-orizzonte, c’è chiaramente quel grande “ribasso” che appare nei dati, concordando con la previsione inflazionistica (linea continua), e definitivamente non concordando con la singolare previsione non inflazionistica del Big Bang (linea tratteggiata).
Naturalmente, sono passati 20 anni e il satellite WMAP è stato sostituito dal satellite Planck, superiore sotto molti aspetti: vedeva l’Universo in un numero maggiore di bande di lunghezza d’onda, scendeva a scale angolari più piccole, possedeva una maggiore sensibilità alla temperatura, includeva uno strumento di polarimetria dedicato e campionava più volte l’intero cielo, riducendo ulteriormente gli errori e le incertezze. Quando guardiamo i dati di correlazione incrociata Planck TE finali (era 2018), di seguito, i risultati sono mozzafiato.

Come puoi vedere chiaramente, non ci possono essere dubbi sul fatto che ci siano davvero fluttuazioni del super-orizzonte all’interno dell’Universo, poiché il significato di questo segnale è travolgente. Il fatto che vediamo le fluttuazioni del super-orizzonte e che le vediamo non solo dalla reionizzazione, ma come si prevede che esistano dall’inflazione, è la pistola fumante: il modello singolare e non inflazionistico del Big Bang non corrisponde all’Universo che osserviamo. Invece, apprendiamo che possiamo solo estrapolare l’Universo fino a un certo punto limite nel contesto del caldo Big Bang, e che prima di ciò, uno stato inflazionistico deve aver preceduto il caldo Big Bang.
Ci piacerebbe dire di più sull’Universo, ma sfortunatamente questi sono i limiti osservabili: fluttuazioni e impronte su scale più grandi non lasciano alcun effetto sull’Universo che possiamo vedere. Ci sono anche altri test dell’inflazione che possiamo cercare: uno spettro quasi invariante di scala di fluttuazioni puramente adiabatiche, un taglio nella temperatura massima del caldo Big Bang, un leggero allontanamento dalla perfetta piattezza verso la curvatura cosmologica e una primordiale spettro delle onde gravitazionali tra loro. Tuttavia, il test di fluttuazione del super-orizzonte è facile da eseguire e completamente robusto.
Tutto da solo, è sufficiente per dirci che l’Universo non è iniziato con il caldo Big Bang, ma piuttosto che uno stato inflazionistico lo ha preceduto e lo ha creato. Sebbene generalmente non se ne parli in questi termini, questa scoperta, da sola, è facilmente un risultato degno di un Nobel.
Correlati
Il Big Bang non fu l’inizio dell’universo
21 Giugno 2022
In “Fisica/Astronomia/astrofisica”
Cosa è successo prima del Big Bang? L’universo ciclico
Una delle prime nozioni di teoria delle stringhe è l’universo “ekpyrotico”, parola greca che tradotta suona come “venuto dal fuoco”.13 Agosto 2022
In “Fisica/Astronomia/astrofisica”
Il Big Bang non è più quello che era una volta
C’è ancora una minoranza di astronomi, astrofisici e cosmologi che usano “il Big Bang” per riferirsi a questo inizio teorizzato e all’emergere del tempo e dello spazio, ma non solo non è più una conclusione scontata, ma non ha qualcosa a che fare con il caldo Big Bang che ha…4 Settembre 2022
In “Fisica/Astronomia/astrofisica”